Free Access

Fig. 6

image

Download original image

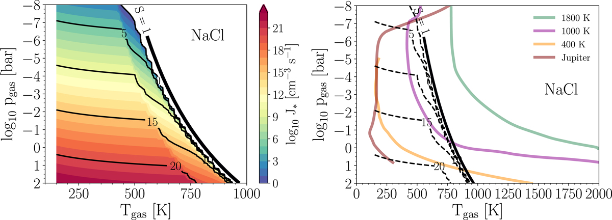
Nucleation rates of NaCl[s] using MCNT (Eq. (7)). Left: contours of log10 J * [cm−3 s−1] of NaCl[s] (colour bar and thin black lines) across the temperature-pressure grid, and the gas-solid phase equilibrium S (T gas, Pgas) = 1 zone (thick black, solid). Right: S = 1 phase equilibrium result (black, solid) and selected log10 J * contour lines (black, dashed) compared to log g = 5, T eff = 1800 K (green, solid), 1000 K (purple, solid), Drift-Pheonix (Witte et al. 2009) and T eff = 400 K, log g = 5 (dark orange, solid), Exo-REM (Baudino et al. 2015, 2017) brown dwarf (T gas, p gas) profiles and Jupiter (brown, solid; Rimmer & Helling 2016).

Current usage metrics show cumulative count of Article Views (full-text article views including HTML views, PDF and ePub downloads, according to the available data) and Abstracts Views on Vision4Press platform.

Data correspond to usage on the plateform after 2015. The current usage metrics is available 48-96 hours after online publication and is updated daily on week days.

Initial download of the metrics may take a while.