Open Access

Fig. 1

image

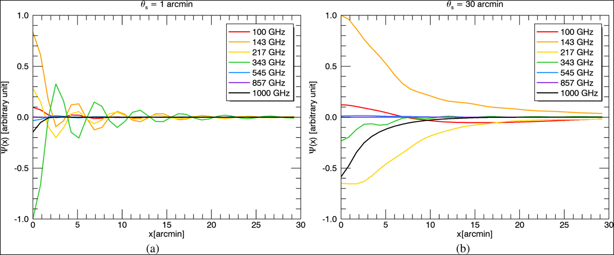
Examples of the matched filter for θs = 1 arcmin (a) and θs = 30 arcmin (b). The curves give the radial profiles of the filters, which are symmetric because we have chosen a symmetric cluster template. The filter is normalized so that its maximum amplitude is equal to 1.

Current usage metrics show cumulative count of Article Views (full-text article views including HTML views, PDF and ePub downloads, according to the available data) and Abstracts Views on Vision4Press platform.

Data correspond to usage on the plateform after 2015. The current usage metrics is available 48-96 hours after online publication and is updated daily on week days.

Initial download of the metrics may take a while.