Press Release
Free Access

Fig. 3

image

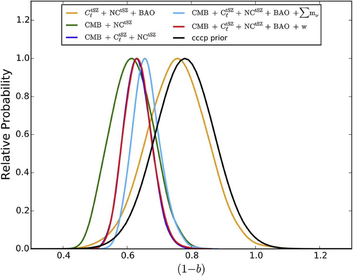
One-dimensional probability distribution for the mass bias (1 − b) for various dataset combinations: the complete tSZ combination and BAO (orange); CMB and the complete tSZ combination (blue, almost completely overlapped by the red line); CMB and number counts (green); the combination of CMB and tSZ, adding the effect of massive neutrinos (light blue); and the combination of CMB and tSZ, adding the effect of varying the dark energy EoS parameter (red). All of these combinations are compared to the CCCP prior we used in our analysis (black).

Current usage metrics show cumulative count of Article Views (full-text article views including HTML views, PDF and ePub downloads, according to the available data) and Abstracts Views on Vision4Press platform.

Data correspond to usage on the plateform after 2015. The current usage metrics is available 48-96 hours after online publication and is updated daily on week days.

Initial download of the metrics may take a while.