Press Release
Free Access

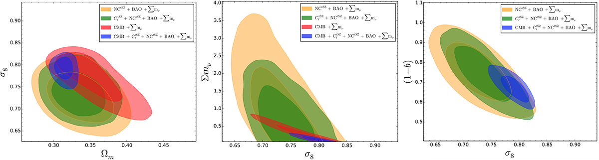
Fig. 5

image

Two-dimensional probability distributions for (Ωm, σ8), (σ8, ∑ mν), and (σ8, (1 − b)) for varying neutrino mass scenario. We report results for number counts (orange), the combination of number counts and power spectrum (green), we add also CMB data (blue), and we show results for CMB alone (red).

Current usage metrics show cumulative count of Article Views (full-text article views including HTML views, PDF and ePub downloads, according to the available data) and Abstracts Views on Vision4Press platform.

Data correspond to usage on the plateform after 2015. The current usage metrics is available 48-96 hours after online publication and is updated daily on week days.

Initial download of the metrics may take a while.