Highlight
Free Access

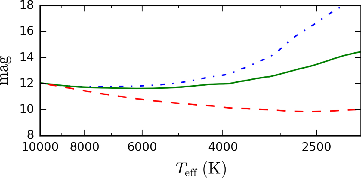
Fig. 1.

image

Apparent magnitude in different photometric bands for a star with saturated X-ray emission at the detection limit of the XMMSL2 catalog vs effective temperature. The blue dash-dotted line indicates the V band; the green solid line indicates the G band; and the red dashed line indicates the J band.

Current usage metrics show cumulative count of Article Views (full-text article views including HTML views, PDF and ePub downloads, according to the available data) and Abstracts Views on Vision4Press platform.

Data correspond to usage on the plateform after 2015. The current usage metrics is available 48-96 hours after online publication and is updated daily on week days.

Initial download of the metrics may take a while.