Free Access

Fig. 7

image

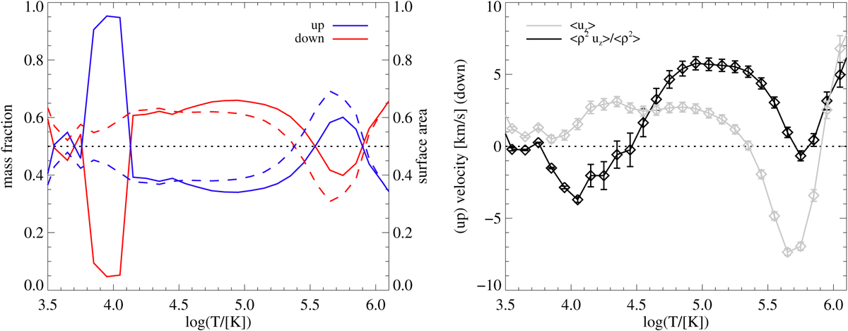
Left panel: mass fraction (solid lines) and surface area (dashed lines) of upflowing (blue) and downflowing (red) plasma in various temperature intervals in the range log T = [3.5, 6.1]. Temporal averages based on the timesteps between t = 4500 s and t = 5300 s are presented. Right panel: average vertical velocity (light gray line) and density-squared-weighted vertical velocity (black line) as a function of temperature. The latter represents the trend of the average Doppler shift with line formation temperature. The error bars show the mean error.

Current usage metrics show cumulative count of Article Views (full-text article views including HTML views, PDF and ePub downloads, according to the available data) and Abstracts Views on Vision4Press platform.

Data correspond to usage on the plateform after 2015. The current usage metrics is available 48-96 hours after online publication and is updated daily on week days.

Initial download of the metrics may take a while.