Free Access

Fig. 12

image

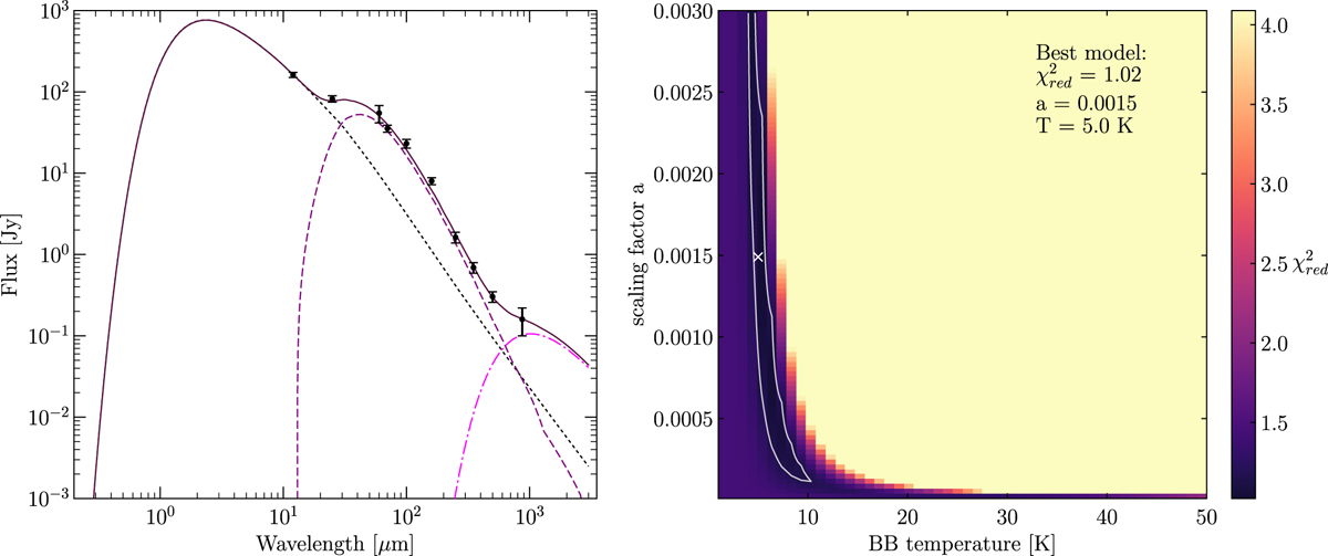
Left: best-fitting model SED (solid line) consisting of the stellar and present-day wind contribution (dotted line), a detached-shell contribution (dashed line), and an additional black body (dot-dashed line). The wind parameters are the best-fitting parameters of 1 × 10−10 M yr−1 for the present-day wind and 3 × 10−5 Mfor the shell mass, derived for 0.1 μm solid sphere amC grains. The best-fitting cool black-body temperature is 5 K. Right: χ-square map for the grid of cool black bodies used to find the best fit. The scaling factor a scales the flux of the black body.

Current usage metrics show cumulative count of Article Views (full-text article views including HTML views, PDF and ePub downloads, according to the available data) and Abstracts Views on Vision4Press platform.

Data correspond to usage on the plateform after 2015. The current usage metrics is available 48-96 hours after online publication and is updated daily on week days.

Initial download of the metrics may take a while.