Free Access

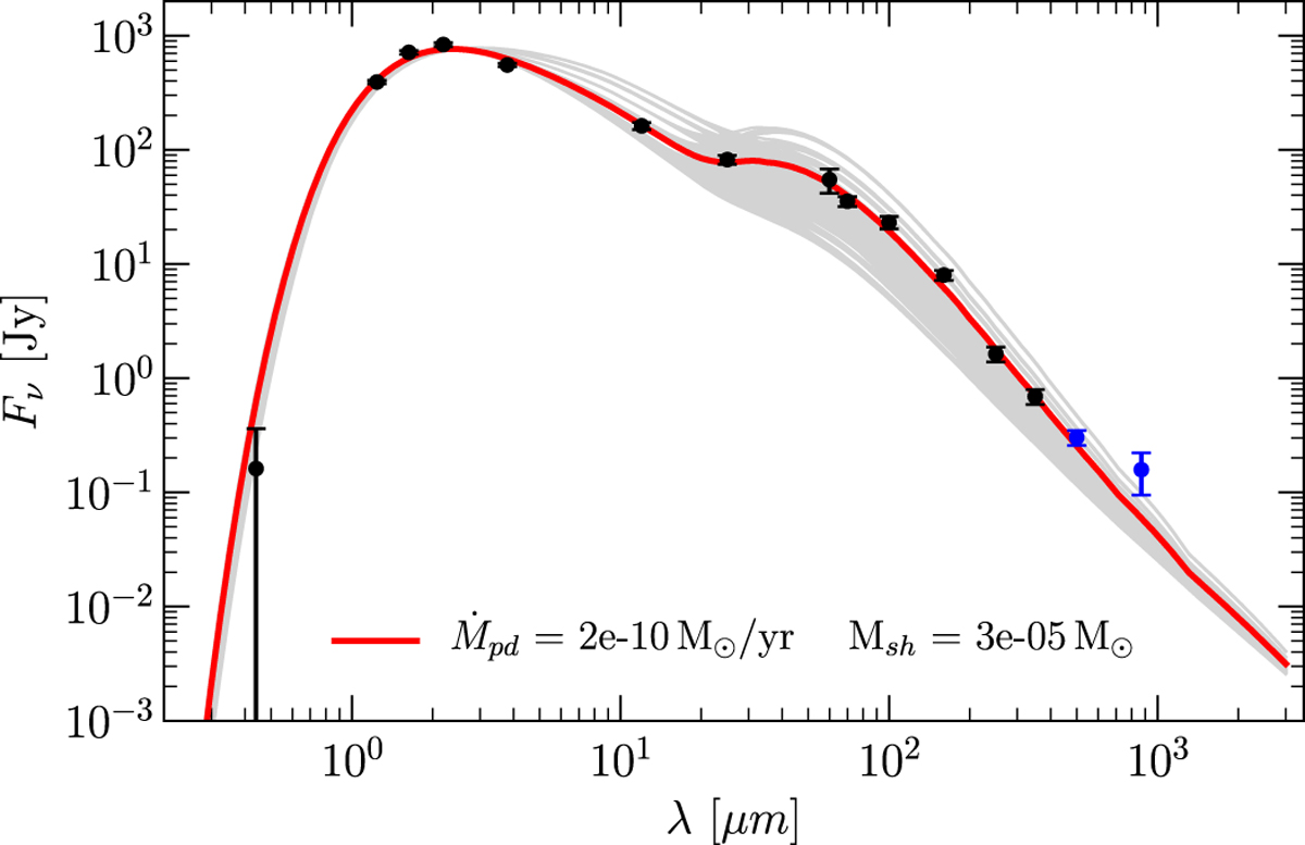
Fig. 4

image

Model grid for 0.1 μm solid, spherical amC dust grains in a present-day wind and detached shell. The best-fitting model isplotted as the red line; the other models, showing present-day mass-loss rates from 5 × 10−12 to 1 × 10−9 M yr−1 and detached-shell masses from 5 × 10−6 to 7 × 10−5 M, are shown with grey lines.

Current usage metrics show cumulative count of Article Views (full-text article views including HTML views, PDF and ePub downloads, according to the available data) and Abstracts Views on Vision4Press platform.

Data correspond to usage on the plateform after 2015. The current usage metrics is available 48-96 hours after online publication and is updated daily on week days.

Initial download of the metrics may take a while.