Free Access

Fig. 4

image

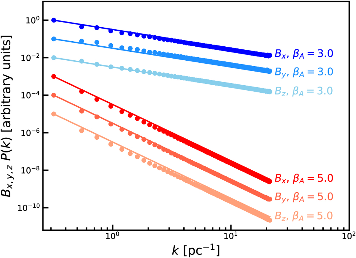
Powerspectra of the components Bx, By and Bz of a model magnetic field B = B0 + Bt built on a grid 120 × 120 × 120 pixels using Eq. (8) with βA = 3 (different shades of blue for the three components) and βA = 5 (different shades of red for the three components). The power spectra are normalized differently so as to allow comparison between them. The fitted power-laws shown as solid lines yield spectral indices βB = 1 and βB = 3, in agreement with Eq. (11). These are the power spectra of the same particular realizations shown in Fig. 2.

Current usage metrics show cumulative count of Article Views (full-text article views including HTML views, PDF and ePub downloads, according to the available data) and Abstracts Views on Vision4Press platform.

Data correspond to usage on the plateform after 2015. The current usage metrics is available 48-96 hours after online publication and is updated daily on week days.

Initial download of the metrics may take a while.