Free Access

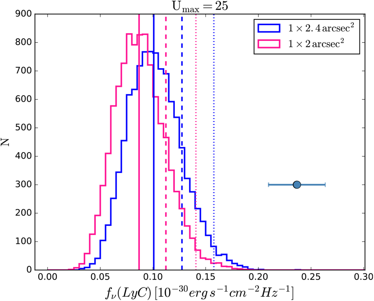
Fig. A.4

image

Comparison of the two distributions of the simulated observed-frame coming from foreground sources for the total sample (201 slits per simulation) using two different slits dimensions (1 × 2 arcsec2, magenta histogram, and 1 × 2.4 arcsec2, blue histogram) and fixing Umax = 25. The continuum vertical lines are the medians of the two distributions, the dashed lines correspond to the 1σ confidence intervals while the dotted lines to the 2σ confidence intervals. The symbol in the figure is the average observed-frame obtained forthe total sample.

Current usage metrics show cumulative count of Article Views (full-text article views including HTML views, PDF and ePub downloads, according to the available data) and Abstracts Views on Vision4Press platform.

Data correspond to usage on the plateform after 2015. The current usage metrics is available 48-96 hours after online publication and is updated daily on week days.

Initial download of the metrics may take a while.