Free Access

Fig. 10

image

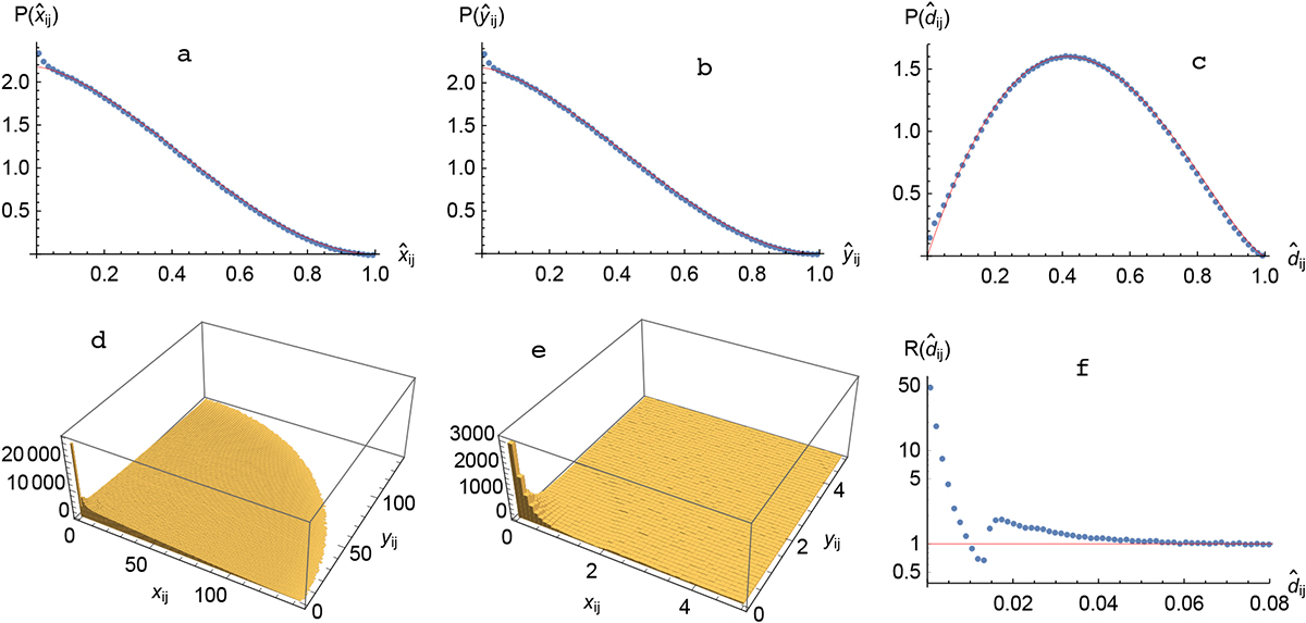
Distributions of angular distances in the region N&S for all G. The blue points in the panels a, b, and c represent the data on and the red curves are result of Monte-Carlo simulation. Panel f: is the ratio of data to simulation from panel c. Panels d and e: 3D plots of distances xij , yij ; their unit  is 1′′ . Panel e: region of small distances in higher resolution.

Current usage metrics show cumulative count of Article Views (full-text article views including HTML views, PDF and ePub downloads, according to the available data) and Abstracts Views on Vision4Press platform.

Data correspond to usage on the plateform after 2015. The current usage metrics is available 48-96 hours after online publication and is updated daily on week days.

Initial download of the metrics may take a while.