Free Access

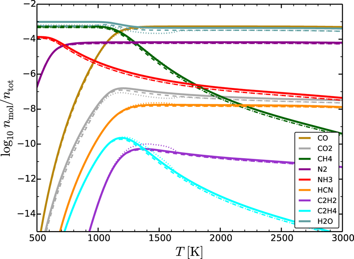
Fig. 4

image

Concentrations of major molecules at 1 bar according to a simplified nine-molecule model in chemical equilibrium (full lines), in comparison to a model with 24 elements and 445 molecules (dashed) and a full model with equilibrium condensation (dotted).

Current usage metrics show cumulative count of Article Views (full-text article views including HTML views, PDF and ePub downloads, according to the available data) and Abstracts Views on Vision4Press platform.

Data correspond to usage on the plateform after 2015. The current usage metrics is available 48-96 hours after online publication and is updated daily on week days.

Initial download of the metrics may take a while.