Free Access

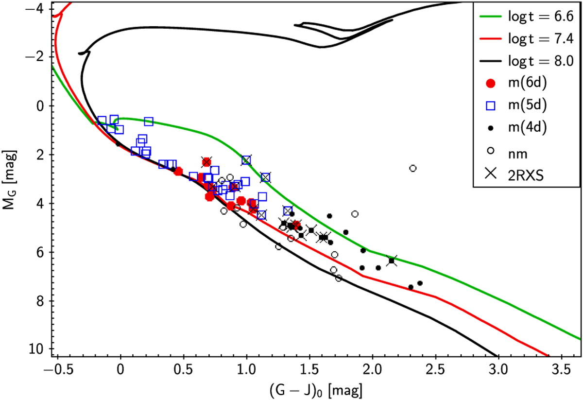
Fig. 3

image

Colour-magnitude diagram MG vs. of starsin the V1062 Sco MG. The symbols for the members of different membership quality are shown in the legend. Crosses indicate stars that were observed by the ROSAT satellite (2RXS, see text). Also plotted are three Padova-2.8 solar metallicity isochrones for log t = 6.6, 7.4 and 8.0.

Current usage metrics show cumulative count of Article Views (full-text article views including HTML views, PDF and ePub downloads, according to the available data) and Abstracts Views on Vision4Press platform.

Data correspond to usage on the plateform after 2015. The current usage metrics is available 48-96 hours after online publication and is updated daily on week days.

Initial download of the metrics may take a while.