Free Access

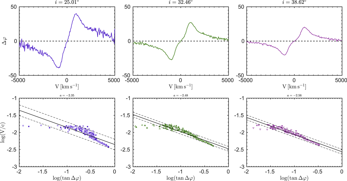
Fig. 6.

image

Modeled polarization φ (upper panels) and velocities (lower panels) across Hφ profiles for the model with central mass of 106M. Filled symbols are for the blue part of the line and open symbols are for the red part of the line. The solid line represents the best fit.

Current usage metrics show cumulative count of Article Views (full-text article views including HTML views, PDF and ePub downloads, according to the available data) and Abstracts Views on Vision4Press platform.

Data correspond to usage on the plateform after 2015. The current usage metrics is available 48-96 hours after online publication and is updated daily on week days.

Initial download of the metrics may take a while.