Free Access

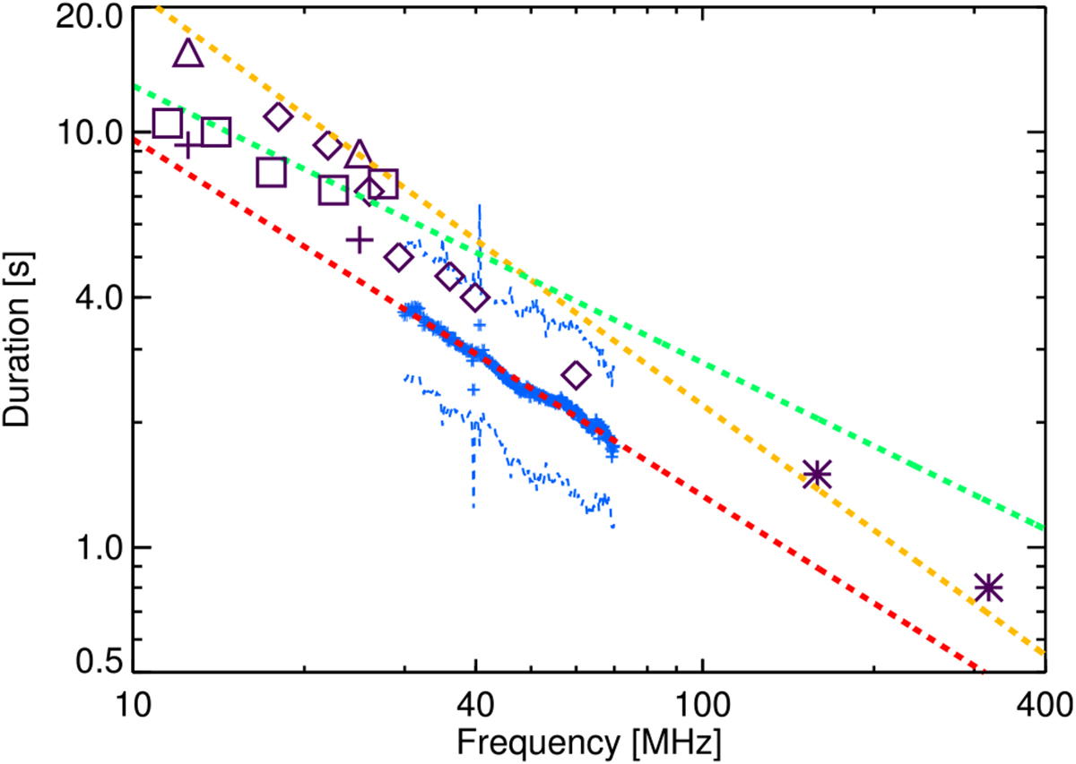
Fig. 4

image

Mean duration as a function of frequency for all the type III bursts, as found from the FWHM. The blue dashed lines show the spread in the data from the standard deviation. The red dashed line shows the fit tD = (3.7 ± 0.2) f−0.86±0.11 for the frequency (per 30 MHz). The purple diamonds show the FWHM found from Aubier & Boischot (1972) and Barrow & Achong (1975). The purple pluses and triangles show the FWHM for fundamental and harmonic bursts, respectively, from Tsybko (1989). The purple squares show the FWHM for powerful (> 1000 SFU) type III bursts, from Mel’Nik et al. (2011). The orange and green dashed lines show the fit in frequency (per 30 MHz) of tD = 7.3f−1 reported by Suzuki & Dulk (1985) and tD = 6.2f−2∕3 reported by Elgaroy & Lyngstad (1972), respectively.

Current usage metrics show cumulative count of Article Views (full-text article views including HTML views, PDF and ePub downloads, according to the available data) and Abstracts Views on Vision4Press platform.

Data correspond to usage on the plateform after 2015. The current usage metrics is available 48-96 hours after online publication and is updated daily on week days.

Initial download of the metrics may take a while.