Open Access

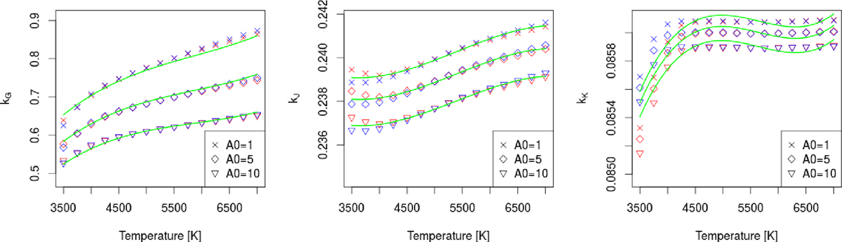
Fig. 3

image

Theoretical extinction coefficients in the G- (Gaia), J- and KS - (2MASS) bands as a function of temperature for different extinctions (A0 = 1, 5, 10 mag) and different surface gravities: log (g) = 2.5 dex (red) and log (g) = 4 dex (blue). Green lines represent the global fit for the three absorption values.

Current usage metrics show cumulative count of Article Views (full-text article views including HTML views, PDF and ePub downloads, according to the available data) and Abstracts Views on Vision4Press platform.

Data correspond to usage on the plateform after 2015. The current usage metrics is available 48-96 hours after online publication and is updated daily on week days.

Initial download of the metrics may take a while.