Free Access

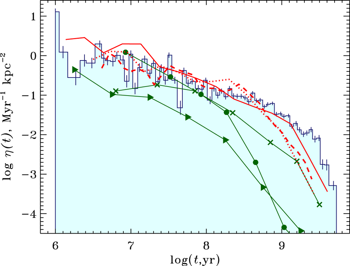
Fig. 4

image

Comparison of present (histogram) and literature age distributions. The vertical bars show the statistical uncertainty (Poisson errors). The six lines show age distribution samples from the literature presented in Table 1. Different (green) symbols connected with thin lines show results from earlier published data. The filled circles, crosses, and triangles correspond to the Wi71, PM86, and BC91 age distributions, respectively. The thick (red) lines correspond to more recent cluster age distributions: the dashed line shows the La05 result, the dotted line is constructed from the Pi06 sample, and the solid line corresponds to the Mo13 data.

Current usage metrics show cumulative count of Article Views (full-text article views including HTML views, PDF and ePub downloads, according to the available data) and Abstracts Views on Vision4Press platform.

Data correspond to usage on the plateform after 2015. The current usage metrics is available 48-96 hours after online publication and is updated daily on week days.

Initial download of the metrics may take a while.