Free Access

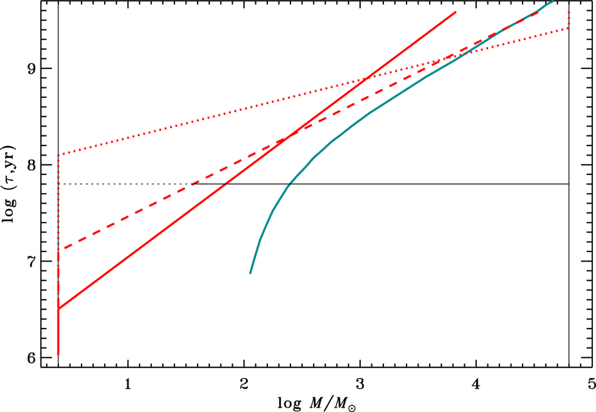
Fig. 8

image

Lifetime-mass relations LTMR used in the model (red) compared to the Lamers & Gieles (2006) relation with 100 M -remnant (blue). The solid red line corresponds to under-filled clusters, the dashed line represents filling Roche lobe models, and the dotted line is for overfilled models with T0 = 500 Myr. The two thin, vertical lines indicate lower and upper limits of the cluster mass range. The horizontal solid line at log τ =7.8 illustrates the integration range [Mt, Mmax] for the filledmodel.

Current usage metrics show cumulative count of Article Views (full-text article views including HTML views, PDF and ePub downloads, according to the available data) and Abstracts Views on Vision4Press platform.

Data correspond to usage on the plateform after 2015. The current usage metrics is available 48-96 hours after online publication and is updated daily on week days.

Initial download of the metrics may take a while.