Free Access

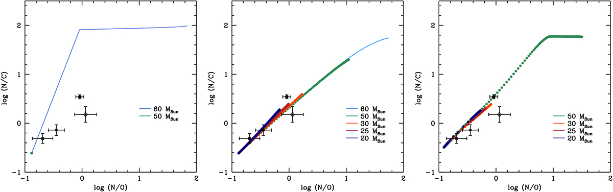
Fig. 7

image

N/C and N/O ratios obtained from our spectral analysis. Squares and circles stand for the components of HD 17505Aa and HD 206267Aa, respectively. The filled (resp. empty) symbols correspondto the primary (resp. secondary) star. The coloured tracks show the predictions from solar metallicitysingle star evolutionary models of different initial masses. The left panel illustrates the comparison with models of Ekström et al. (2012) without rotation, whereas the tracks in the middle panel correspond to the models of the same authors but assuming an initial rotational velocity of 0.4 × vcrit. The right panel shows the comparison with the models of Brott et al. (2011) accounting for rotation. In the right panel, initial rotational velocities are 111, 110, 109, and 213 km s−1 for the 20, 25, 30, and 50 M models, respectively.

Current usage metrics show cumulative count of Article Views (full-text article views including HTML views, PDF and ePub downloads, according to the available data) and Abstracts Views on Vision4Press platform.

Data correspond to usage on the plateform after 2015. The current usage metrics is available 48-96 hours after online publication and is updated daily on week days.

Initial download of the metrics may take a while.