Free Access

Fig. 3

image

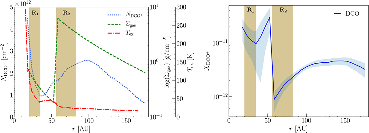
One-dimensional, radial structure in the HD 169142 disk. Vertical brown shaded regions represent the dust rings. Left: DCO+ radial column density (dotted blue) calculated from Eq. (1) using the DCO+ the radial intensity profile (see Fig. 2) and the midplane gas temperature of the optimized DALI model (dot-dash red) as the Tex profile. The gas surface density profile (dashed green) was used to derive the DCO+ radial abundance. Right: radial abundance structure of DCO+ with respect to H2. The blue shaded region represents 1σ errors on the abundance.

Current usage metrics show cumulative count of Article Views (full-text article views including HTML views, PDF and ePub downloads, according to the available data) and Abstracts Views on Vision4Press platform.

Data correspond to usage on the plateform after 2015. The current usage metrics is available 48-96 hours after online publication and is updated daily on week days.

Initial download of the metrics may take a while.