Free Access

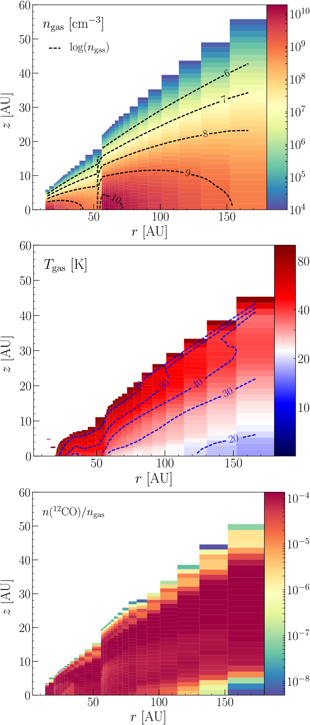
Fig. 4

image

Two-dimensional physical structure of the HD 169142 disk from the optimized DALI model ( Appendix A). Top: gas density structure. The gas density contours (dashed black) are shown as log(ngas). Middle: gas temperature structure below 100 K. Temperature contours are shown in dashed blue. Bottom: CO abundance structure with respect to H2.

Current usage metrics show cumulative count of Article Views (full-text article views including HTML views, PDF and ePub downloads, according to the available data) and Abstracts Views on Vision4Press platform.

Data correspond to usage on the plateform after 2015. The current usage metrics is available 48-96 hours after online publication and is updated daily on week days.

Initial download of the metrics may take a while.