Free Access

Fig. 21

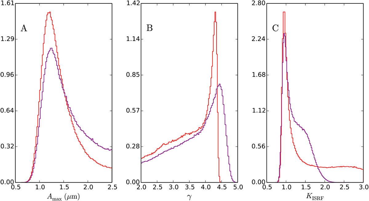
image

Marginalised probability distributions of the dust parameters for the minor axis case (red lines) (see Fig. 11), and the case with grains smaller than 20 nm removed from the dust model used to fit the synthetic observations(purple lines).

Current usage metrics show cumulative count of Article Views (full-text article views including HTML views, PDF and ePub downloads, according to the available data) and Abstracts Views on Vision4Press platform.

Data correspond to usage on the plateform after 2015. The current usage metrics is available 48-96 hours after online publication and is updated daily on week days.

Initial download of the metrics may take a while.