Open Access

Fig. 15

image

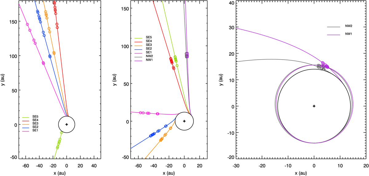
Face-on view of possible trajectories for the orbiting free case and considering the southeastern features only (left), the southeastern and the northwestern features (middle), and the northwestern features only (right). For each structure, a circle materializes the stellocentric position calculated from the model at the epochs when the structure is detected. Two solutions, bound and unbound, are plotted in the case of the northwestern features (right). The observer is at the bottom. Counter-clockwise rotation is assumed.

Current usage metrics show cumulative count of Article Views (full-text article views including HTML views, PDF and ePub downloads, according to the available data) and Abstracts Views on Vision4Press platform.

Data correspond to usage on the plateform after 2015. The current usage metrics is available 48-96 hours after online publication and is updated daily on week days.

Initial download of the metrics may take a while.