Open Access

Fig. 2

image

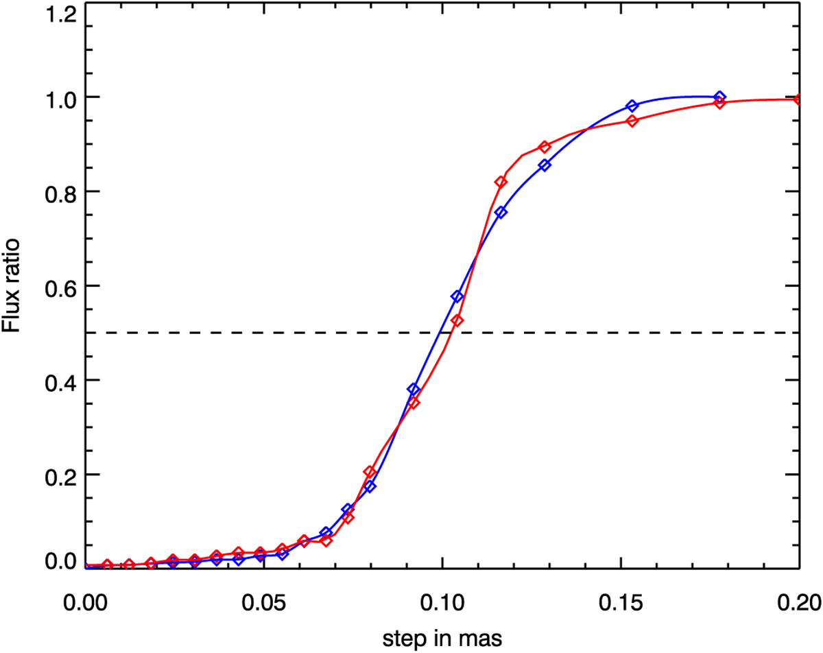
Radial transmission profile for a point source measured on the PSF (blue diamonds) and compared to a simulation (red triangles). In practice, a star is centered onto the coronagraph, and increasing steps are issued from this central position. A background star provides the real-time photometric calibration.

Current usage metrics show cumulative count of Article Views (full-text article views including HTML views, PDF and ePub downloads, according to the available data) and Abstracts Views on Vision4Press platform.

Data correspond to usage on the plateform after 2015. The current usage metrics is available 48-96 hours after online publication and is updated daily on week days.

Initial download of the metrics may take a while.