Table 4
Range of the parameters β and R0 obtained withthe dynamical modeling with the corresponding χ2 of the best fit, and assuming different cases for the source of dust (static, orbiting free, orbiting forward, and orbiting backward) and different sets of structures (SE, SE+NW, and NW).
| Features | Scenario | χ2 | β | R0 [au] |
|---|---|---|---|---|
| — Sezestre et al. (2017) — | ||||
| SE | Static | 0.9 | ||
| SE | Orbiting free | 1.7 | ||
| SE | Orbiting forward | 3.6 | ||
| SE | Orbiting backward | 3.5 | ||
| — This work — | ||||
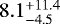
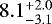
| SE | Static | 7.1 | ||
| SE | Orbiting free | 8.7 | ||
| SE | Orbiting forward | 14.8 | ||
| SE | Orbiting backward | 12.3 | ||
| SE+NW | Static | 14.1 | ||
| SE+NW | Orbiting free | 36.1 | ||
| NW | Static | 0.5 | ||
| NW | Static (bound) | 0.4 | ||
| NW | Orbiting free | 0.4 | ||
| NW | Orbiting free (bound) | 1.8 | ||
Notes. The four first lines provide the outcome of Sezestre et al. (2017) as a reference.
Current usage metrics show cumulative count of Article Views (full-text article views including HTML views, PDF and ePub downloads, according to the available data) and Abstracts Views on Vision4Press platform.
Data correspond to usage on the plateform after 2015. The current usage metrics is available 48-96 hours after online publication and is updated daily on week days.
Initial download of the metrics may take a while.