Free Access

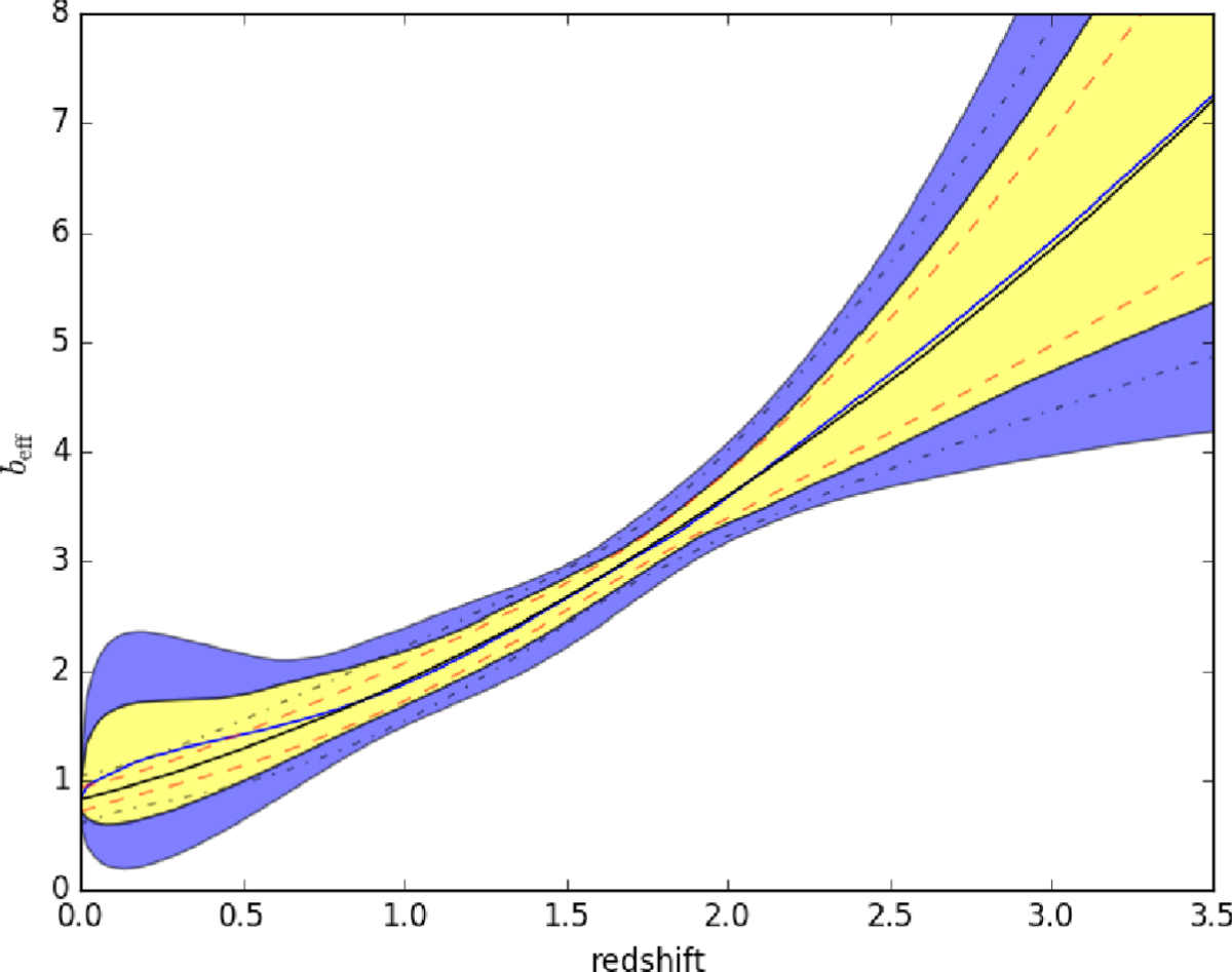
Fig. A.1

image

Evolution of the effective bias with redshift derived from the CIB using two different parametrisations, as described in Eq. (A.1) (plotted as the blue line with the 1σ and 2σ regions given in yellow and blue, respectively) and Eq. (7) (plotted as the dark line with the 1σ and 2σ regions given with the red dashed and blue dot-dashed lines, respectively).

Current usage metrics show cumulative count of Article Views (full-text article views including HTML views, PDF and ePub downloads, according to the available data) and Abstracts Views on Vision4Press platform.

Data correspond to usage on the plateform after 2015. The current usage metrics is available 48-96 hours after online publication and is updated daily on week days.

Initial download of the metrics may take a while.