Free Access

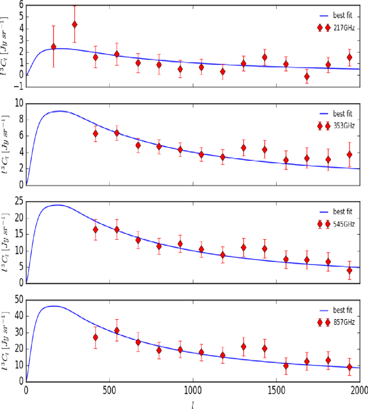
Fig. 3

image

CIB × CMB lensing cross-power spectra. Our best fit model is shown by the blue curves for different frequency channels. Measurements (red data points) are from Planck Collaboration XVIII (2014). They have been included in the likelihood to calculate and get better constraints on the CIB linear model.

Current usage metrics show cumulative count of Article Views (full-text article views including HTML views, PDF and ePub downloads, according to the available data) and Abstracts Views on Vision4Press platform.

Data correspond to usage on the plateform after 2015. The current usage metrics is available 48-96 hours after online publication and is updated daily on week days.

Initial download of the metrics may take a while.