Free Access

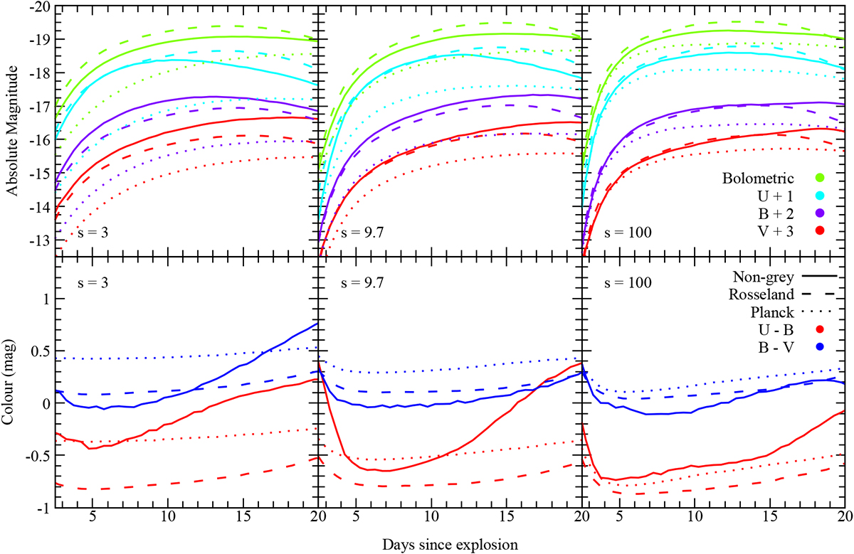
Fig. 7

image

Light curves obtained for various opacity treatments. Top: light curves of v12500_d0_n8 models using grey opacities and using our full, non-grey opacity treatment. Light curves have been offset vertically from each other for clarity. Bottom: BV colours for v12500_d0_n8 models using grey opacities and using our full, non-grey opacity treatment.

Current usage metrics show cumulative count of Article Views (full-text article views including HTML views, PDF and ePub downloads, according to the available data) and Abstracts Views on Vision4Press platform.

Data correspond to usage on the plateform after 2015. The current usage metrics is available 48-96 hours after online publication and is updated daily on week days.

Initial download of the metrics may take a while.