Open Access

Fig. 12

image

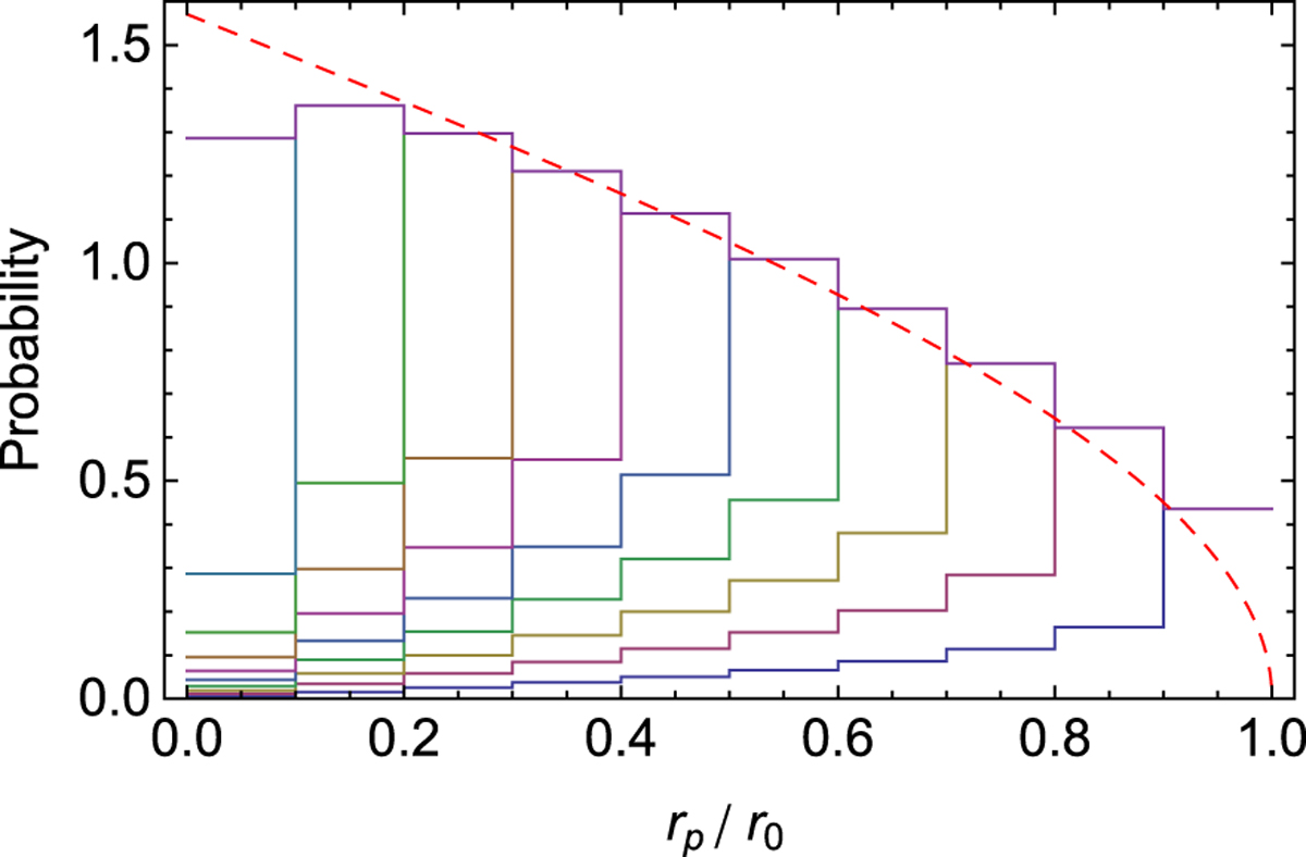
Illustration of the method of deprojection of rp, for 10 bins and an initial distribution Pr(r) = constant between 0 and r0. We show how the initial unprojected number density in each given bin (this initial density is chosen to be constant = 1) is distributed among the original bin and those at smaller distances (areas contained between the broken lines). The red dashed line is the expected distribution [arccos(rp)] in the limit of vanishing bin width (infinite number of bins). Conversely, one can recover the initial unprojected distribution from the projecteddistribution by inverting such a decomposition (see text). There is just a small bias on the first and last bins.

Current usage metrics show cumulative count of Article Views (full-text article views including HTML views, PDF and ePub downloads, according to the available data) and Abstracts Views on Vision4Press platform.

Data correspond to usage on the plateform after 2015. The current usage metrics is available 48-96 hours after online publication and is updated daily on week days.

Initial download of the metrics may take a while.