Open Access

Fig. 3

image

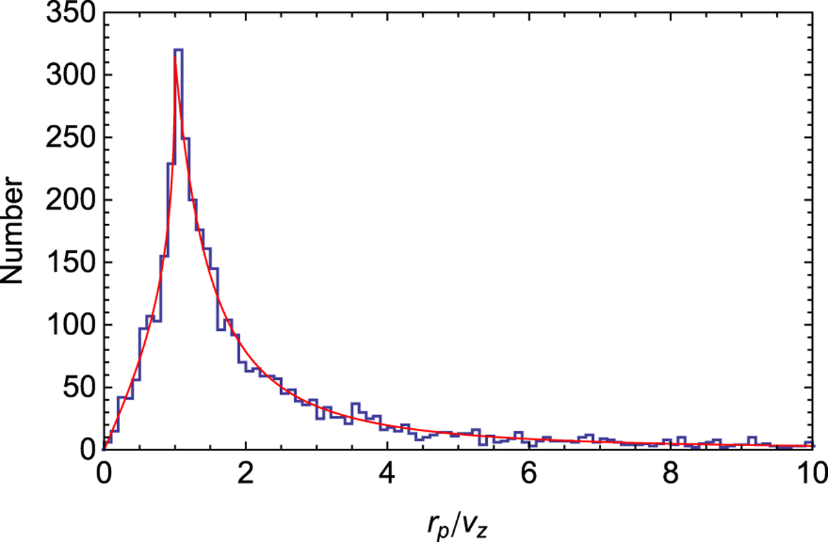
Numerical simulation of the density distribution of the ratio rpvz, where rp is the distance between pair members projected on the plane of the sky and vz is their radial velocity difference (here with r = 1 and v = 1). The number of simulated pairs is N = 4000. Within statistical fluctuations, the obtained probability distribution agrees well with the theoretical expectation (red continuous line, Eqs. (11) and (12)). In the case of circular orbits, the velocity and radial vectors are orthogonal, which implies rpvzrv (see text), i.e., rpvz ≥ 1 in this figure. That achieves a clear signature of circular orbits, for which the left part of the figure (rpvz < 1) below the sharp peak of the rpvz PDF is expected to be empty.

Current usage metrics show cumulative count of Article Views (full-text article views including HTML views, PDF and ePub downloads, according to the available data) and Abstracts Views on Vision4Press platform.

Data correspond to usage on the plateform after 2015. The current usage metrics is available 48-96 hours after online publication and is updated daily on week days.

Initial download of the metrics may take a while.