Free Access

Fig. 3

image

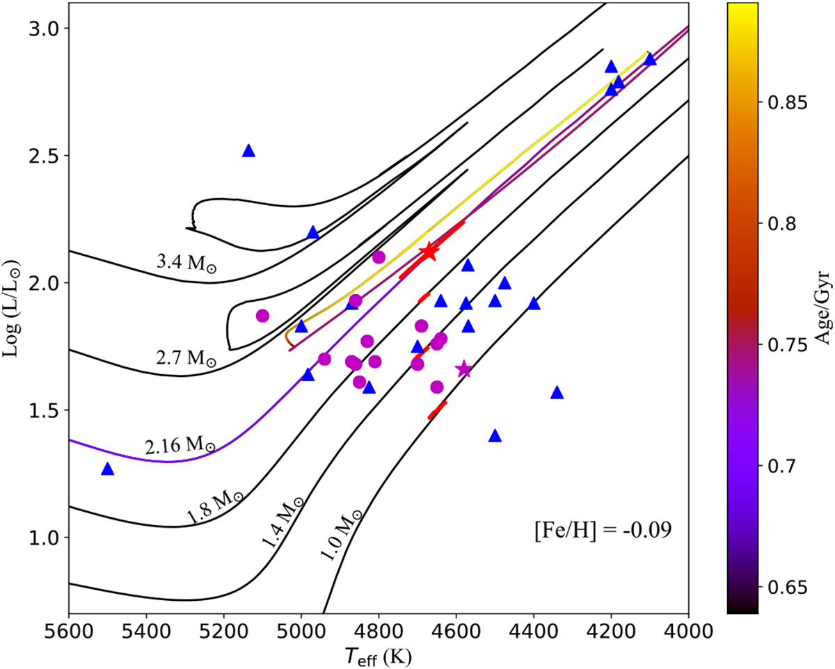
TYC 3251-581-1 is indicated as a red star in the BaSTI tracks with metallicity Z = 0.014 (Pietrinferni et al. 2004), and the magenta star is the star HD 77361 (Kumar & Reddy 2009). The Charbonnel & Balachandran (2000) sample with [Fe/H = –0.46 ~ 0.10 dex isdenoted as the blue triangles, while the magenta points show the Kumar et al. (2011) sample with metallicitiesranging from –0.27 to 0.18 dex. The location of the RGB bump is indicated by the red bold line at each track.

Current usage metrics show cumulative count of Article Views (full-text article views including HTML views, PDF and ePub downloads, according to the available data) and Abstracts Views on Vision4Press platform.

Data correspond to usage on the plateform after 2015. The current usage metrics is available 48-96 hours after online publication and is updated daily on week days.

Initial download of the metrics may take a while.