Free Access

Fig. 5

image

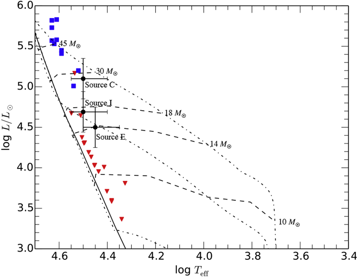
Positions of our mYSO candidates (circles) are shown along with known SMC YSOs (Sewiło et al. 2013) as red inverted triangles and galactic YSOs (Wu et al. 2016) as blue squares. The dashed dotted lines are the PMS isochrones of (Bressan et al. 2012) at 1/5 Z for 0.01, 0.03, and 0.3 Myr right to left, respectively, and the dashed lines are the stellar tracks for 10, 14, 18, 30, and 45 M from bottom up. The solid line is the main sequence locus.

Current usage metrics show cumulative count of Article Views (full-text article views including HTML views, PDF and ePub downloads, according to the available data) and Abstracts Views on Vision4Press platform.

Data correspond to usage on the plateform after 2015. The current usage metrics is available 48-96 hours after online publication and is updated daily on week days.

Initial download of the metrics may take a while.