Free Access

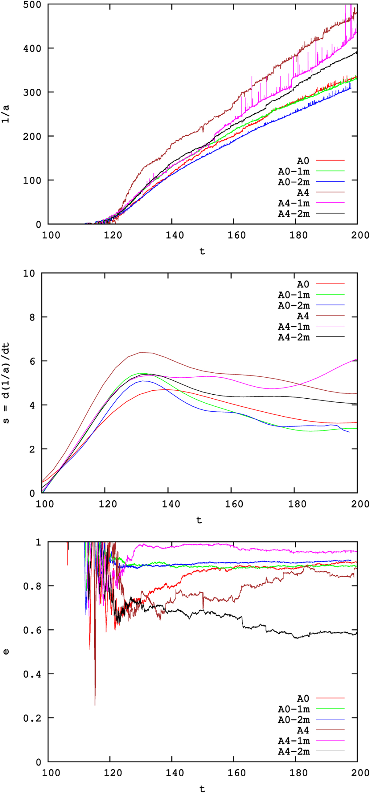
Fig. 7

image

Evolution of SMBH binary inverse semi-major axis, hardening rates, and eccentricity for our convergence test runs with N = 400k, 1 and 2 million for the single-mass A0, and the SMF case A4.

Current usage metrics show cumulative count of Article Views (full-text article views including HTML views, PDF and ePub downloads, according to the available data) and Abstracts Views on Vision4Press platform.

Data correspond to usage on the plateform after 2015. The current usage metrics is available 48-96 hours after online publication and is updated daily on week days.

Initial download of the metrics may take a while.