Free Access

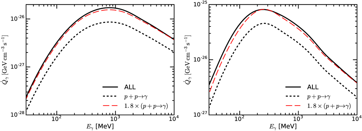
Fig. 12

image

Emissivities of γ-rays from interactions of Galactic CRs with the interstellar gas. Left panel: the overall γ-ray emissivity is shown by the solid line, while the emissivity due to pp interactions is shown by the dashed line. The red line corresponds to the pp emissivity enhanced by the factor of κ = 1.8 in order to match the overall emissivity at energies above 3 GeV. For composition and the CR proton flux are used the AMS measurements. Right panel: as in the left panel, except for the proton spectrum; it is assumed the same AMS proton spectrum at high energies but extrapolated to low energies as a single power-law with the same power-law index 2.85.

Current usage metrics show cumulative count of Article Views (full-text article views including HTML views, PDF and ePub downloads, according to the available data) and Abstracts Views on Vision4Press platform.

Data correspond to usage on the plateform after 2015. The current usage metrics is available 48-96 hours after online publication and is updated daily on week days.

Initial download of the metrics may take a while.