Free Access

Fig. 16

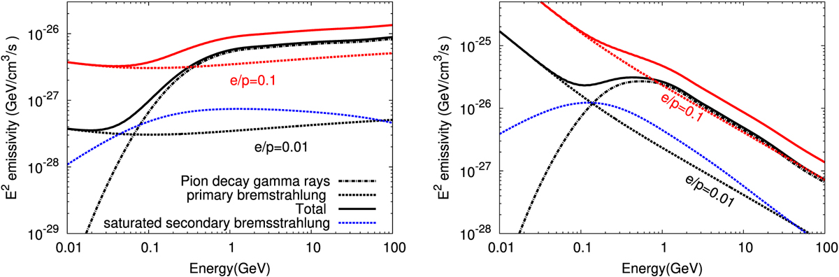
image

γ-ray emissivities of primary protons and electrons in the uncooled regime for two values of the ep ratio: 0.1 and 0.01. It is assumed that both electrons and protons have the same power-law distribution in momentum which continues down to a kinetic energy of particles of 10 MeV. The gas number density is n = 1 cm−3. Left panel: Γ = 2; right panel: Γ = 2.85. Also shown as blue curves are the contributions from saturated secondary electrons, which is the maximum possible contributionfrom secondaries.

Current usage metrics show cumulative count of Article Views (full-text article views including HTML views, PDF and ePub downloads, according to the available data) and Abstracts Views on Vision4Press platform.

Data correspond to usage on the plateform after 2015. The current usage metrics is available 48-96 hours after online publication and is updated daily on week days.

Initial download of the metrics may take a while.