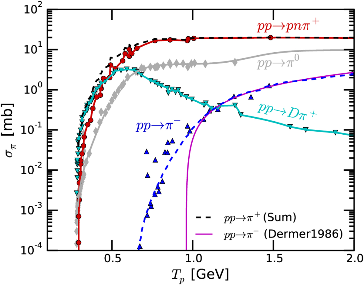
Fig. 4
π-meson production cross-sections as a function of incident proton kinetic energy Tp < 2 GeV. The most important channels for π+-meson production are the pp → pnπ+ (red line) and the pp → Dπ+ (cyan line) channels. The experimental data points are from Machner & Haidenbauer (1999); the black dash line shows the total pp→ π+ cross-section. The cross-sections for the pp → π0 and pp → π− reactions are shown with grey and blue colours, respectively. The parametrisation for the pp → π0 and the respective compiled data are taken from Kafexhiu et al. (2014). The experimental data for pp → π− and the eye-guiding blue dash line are taken from Skorodko et al. (2009). For comparison, the Dermer (1986b) parametrisation for pp → π− cross-section is also shown. This parametrisation describes well the high-energy data, however, below Tp < 1 GeV it deviates significantly from measurements.
Current usage metrics show cumulative count of Article Views (full-text article views including HTML views, PDF and ePub downloads, according to the available data) and Abstracts Views on Vision4Press platform.
Data correspond to usage on the plateform after 2015. The current usage metrics is available 48-96 hours after online publication and is updated daily on week days.
Initial download of the metrics may take a while.