Free Access

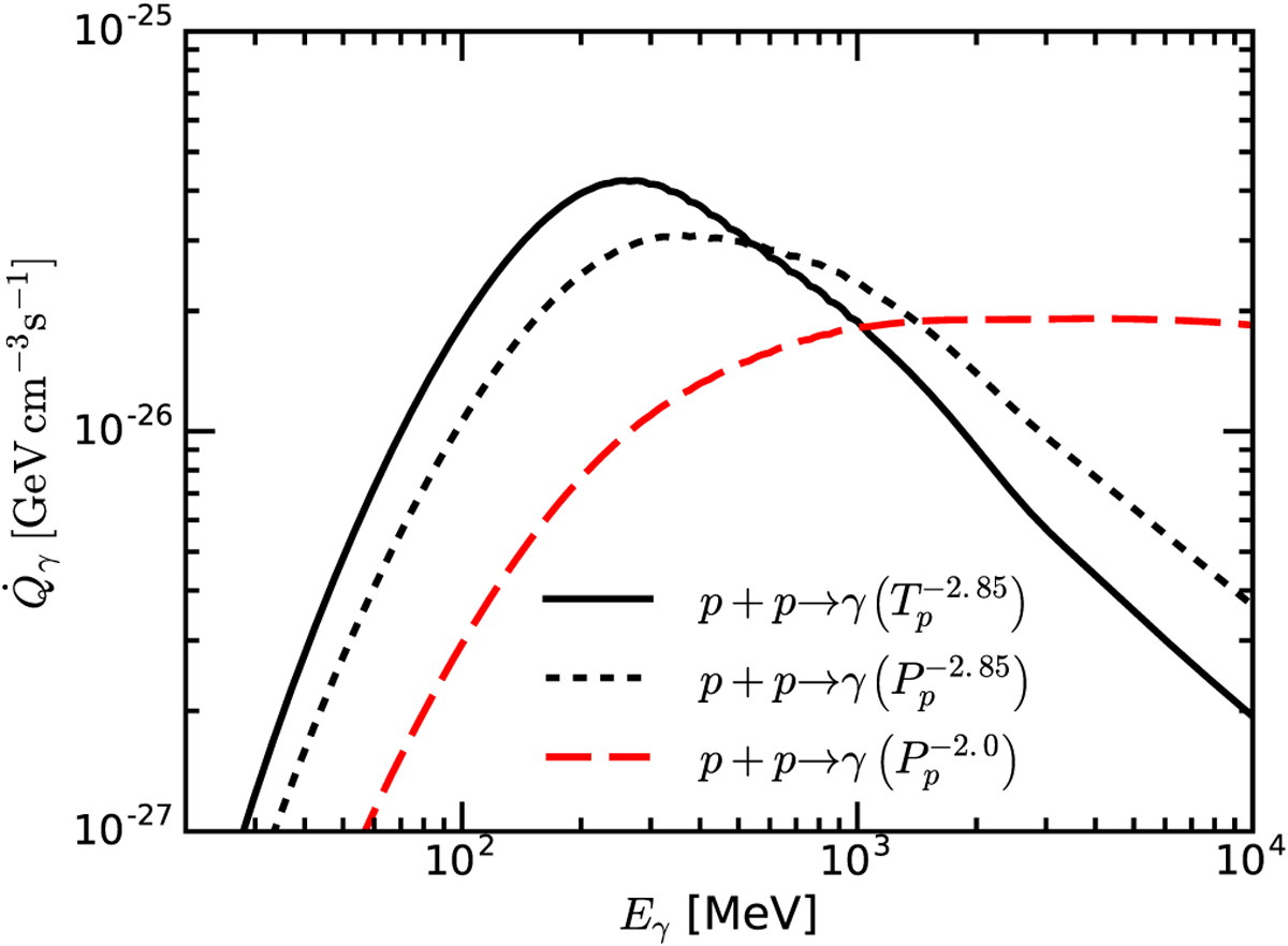
Fig. 8

image

Emissivities of γ-rays from decays of π0-mesons produced in pp interactions.Different line styles are calculated for three distributions of accelerated protons: (1) red dashed: power-law in momentum with αp = 2.0, (2) black dashed: power-law in momentum with αp = 2.85, (3) black solid: power-law in kinetic energy with αp = 2.85, respectively. The proton spectra are normalised in a way that the energy density wp (≥ 1 GeV) = 1 eV cm−3. The density of the hydrogen gas nH = 1 cm−3.

Current usage metrics show cumulative count of Article Views (full-text article views including HTML views, PDF and ePub downloads, according to the available data) and Abstracts Views on Vision4Press platform.

Data correspond to usage on the plateform after 2015. The current usage metrics is available 48-96 hours after online publication and is updated daily on week days.

Initial download of the metrics may take a while.