Open Access

Fig. 3

image

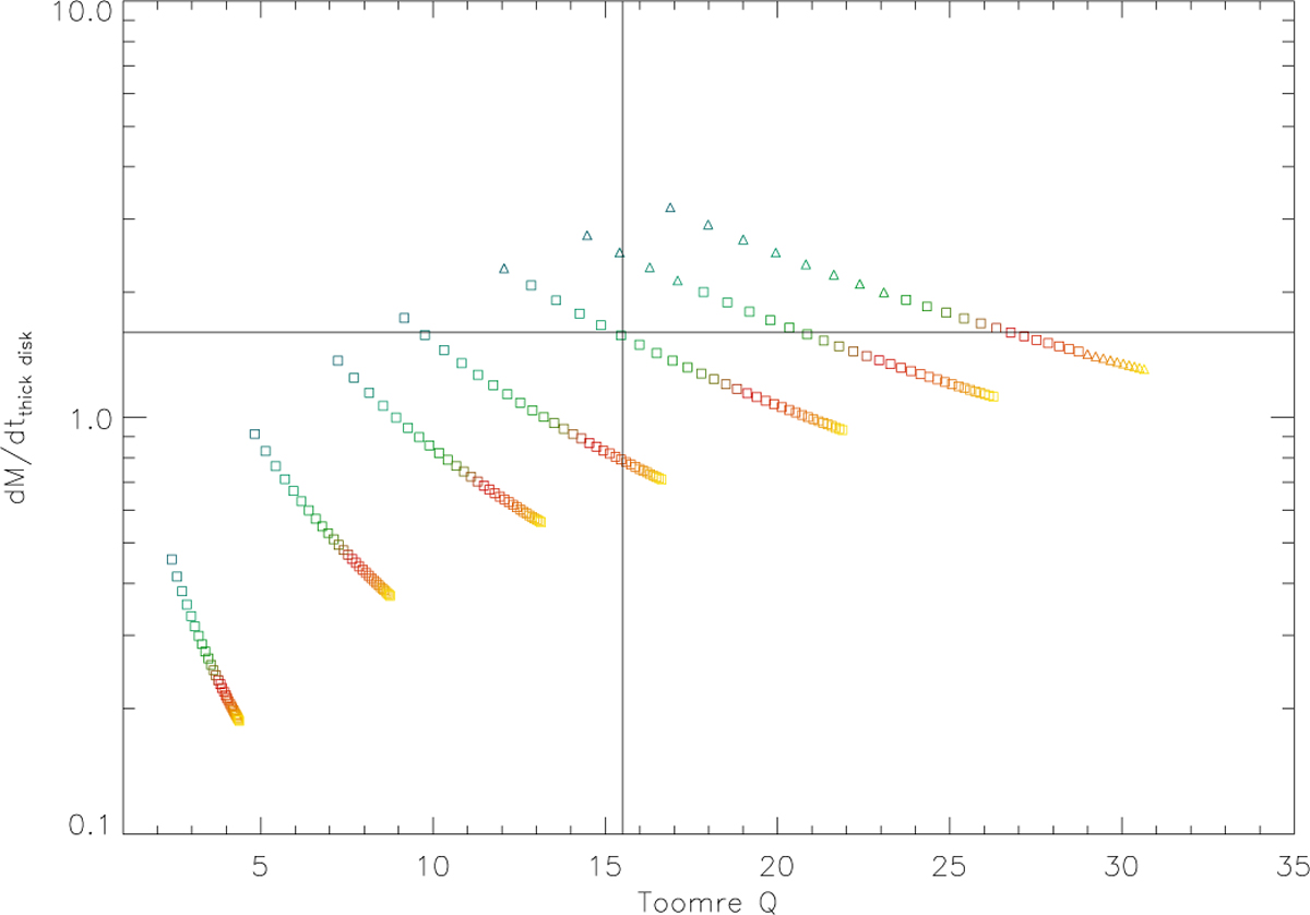
NGC 1068: mass accretion rate of the thick gas disk (in M yr−1) as a functionof the Toomre Q parameter. Each point corresponds to a given critical radius where the wind sets in and the accretion disk becomes thin. Each line corresponds to a velocity dispersion of vturb = 10, 20, 30, 40, 50, 60, and  70 km s−1 (from left to right). The critical radii range from 1 pc (green) to 4 pc (yellow) in steps of 0.1 pc. Triangles: pradpB < 0.5; boxes: pradpB ≥ 0.5. The intersection of the solid lines corresponds to the assumed critical radius rwind = 1.5 pc and vturb = 50 km s−1.

Current usage metrics show cumulative count of Article Views (full-text article views including HTML views, PDF and ePub downloads, according to the available data) and Abstracts Views on Vision4Press platform.

Data correspond to usage on the plateform after 2015. The current usage metrics is available 48-96 hours after online publication and is updated daily on week days.

Initial download of the metrics may take a while.