Open Access

Fig. 7

image

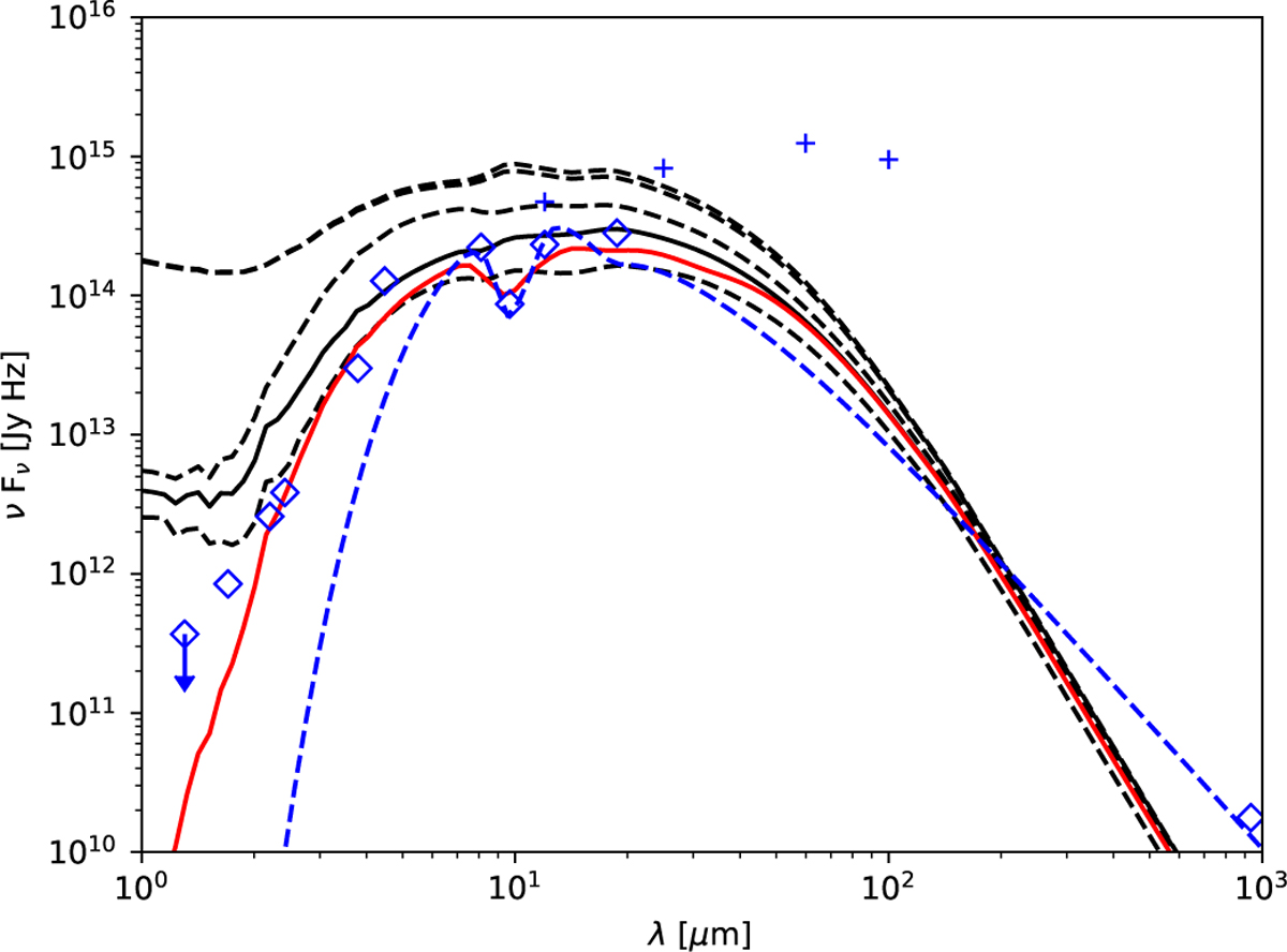
SED of the radiative transfer Circinus model for different inclination angles of the gas disk (solid red line: best-fit model with i = 65° and with a homogeneous screen of τV = 20; solid black line: i = 65° without a homogeneous screen; dashed black lines: i = 0, 30, 60, and 90°; blue dashed line: Tristram et al. 2014 model). Blue diamonds: observations from Prieto et al. (2010). The typical uncertainties are on the order of 10%. Blue pluses: low resolution IRAS photometry. These points can be regarded as upper limits.

Current usage metrics show cumulative count of Article Views (full-text article views including HTML views, PDF and ePub downloads, according to the available data) and Abstracts Views on Vision4Press platform.

Data correspond to usage on the plateform after 2015. The current usage metrics is available 48-96 hours after online publication and is updated daily on week days.

Initial download of the metrics may take a while.