Open Access

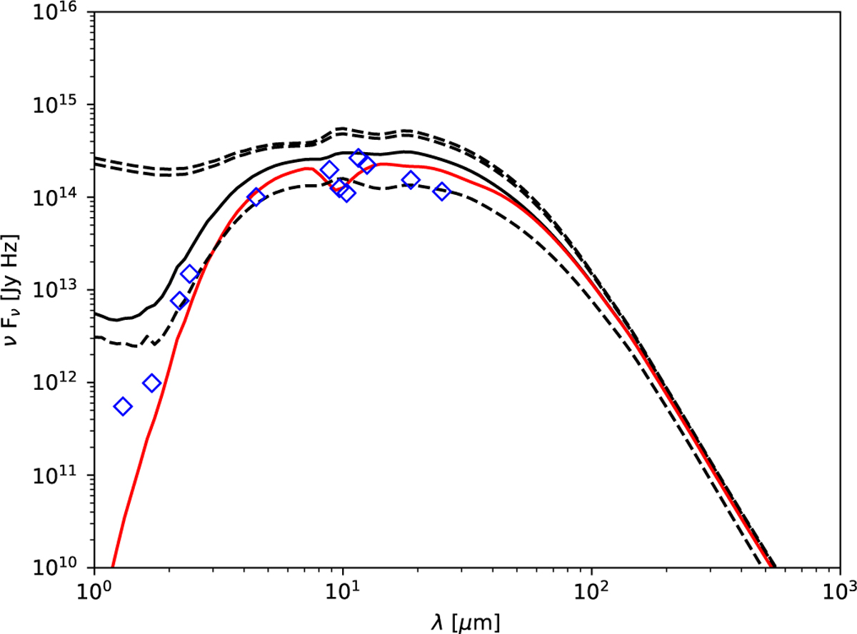
Fig. 8

image

SED of the radiative transfer NGC 1068 model for different inclination angles of the gas disk (red solid line: best-fit model with i = 60° and with a homogeneous screen of τV = 20; black solid line: i = 60° without a homogeneous screen; dashed black lines: i = 0, 30, and 90°). Blue diamonds: observations from Prieto et al. (2010). The typical uncertainties are on the order of 10%.

Current usage metrics show cumulative count of Article Views (full-text article views including HTML views, PDF and ePub downloads, according to the available data) and Abstracts Views on Vision4Press platform.

Data correspond to usage on the plateform after 2015. The current usage metrics is available 48-96 hours after online publication and is updated daily on week days.

Initial download of the metrics may take a while.