Free Access

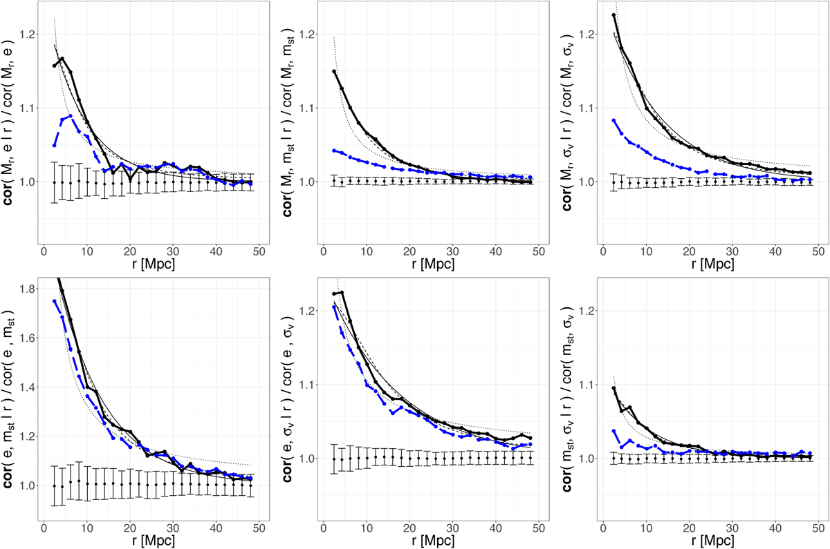
Fig. 2

image

Scale-dependent correlation functions cor(⋅, ⋅|r)∕cor(⋅, ⋅) of (Mr, e), (Mr, mst), (Mr, σv), (e, mst), (e, σv), and (mst, σv) calculated from the volume limited sample with 600 Mpc depth from the SDSS DR12 (thick solid line). The 1σ error bars around cor(⋅, ⋅|r) = cor(⋅, ⋅) are calculated from 50 galaxy samples with randomised marks. The exponential, Lorentz, and power-law fits, according to Eq. (8), are shown with a thin solid, dashed, and dotted line respectively. The thick blue dashed line shows the results for the alternative definition of the scale dependent correlation coefficients . The 1σ error bars for (not shown in the plot) show a very similar amplitude in comparison to the errors calculated for cor (⋅, ⋅|r).

Current usage metrics show cumulative count of Article Views (full-text article views including HTML views, PDF and ePub downloads, according to the available data) and Abstracts Views on Vision4Press platform.

Data correspond to usage on the plateform after 2015. The current usage metrics is available 48-96 hours after online publication and is updated daily on week days.

Initial download of the metrics may take a while.