Free Access

Fig. 9

image

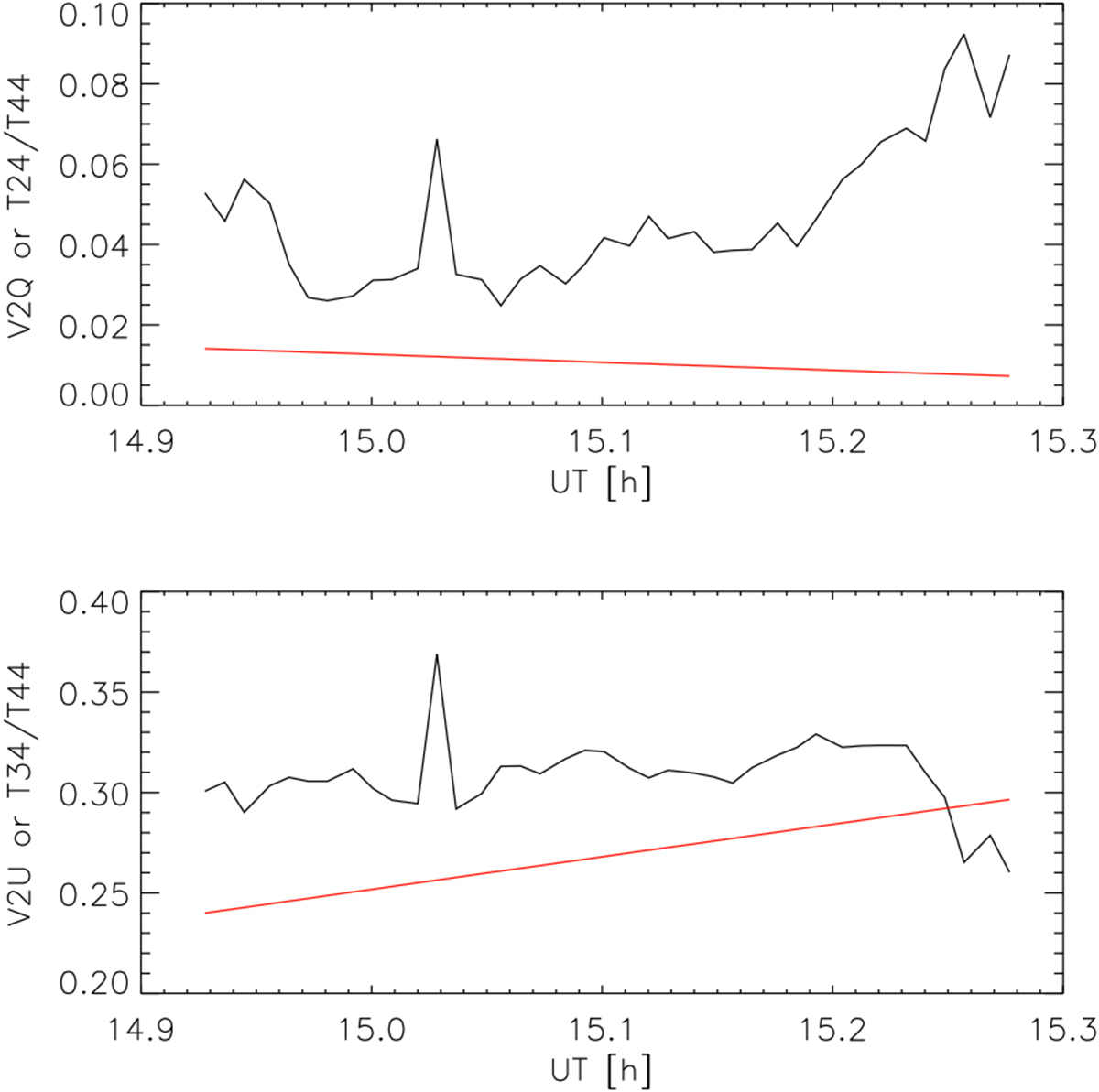
Crosstalk from VQU averagedalong the slit for the map at 614.9 nm shown in Fig. 7(black lines). The red lines show the values of the DST telescope model for and , respectively,using the telescope parameters determined in 2010.

Current usage metrics show cumulative count of Article Views (full-text article views including HTML views, PDF and ePub downloads, according to the available data) and Abstracts Views on Vision4Press platform.

Data correspond to usage on the plateform after 2015. The current usage metrics is available 48-96 hours after online publication and is updated daily on week days.

Initial download of the metrics may take a while.