Free Access

Fig. A.2

image

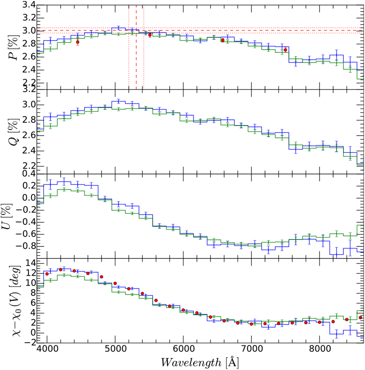
Polarized standard star HD 43384 observed with CAFOS at two epochs, on 2015-04-29 at 20:14 UT (green line) and 21:14 UT (blue line). The two epochs are consistent with each other with an RMS of ~0.04%. The red dashed lines in the polarization panel indicate pmax and λmax and their errors (dotted line) determined by Hsu & Breger (1982), and the red dots are their individual measurements. The red dots in the χχ0(V) panel indicate the phase retardance variance determined in Patat & Taubenberger (2011).

Current usage metrics show cumulative count of Article Views (full-text article views including HTML views, PDF and ePub downloads, according to the available data) and Abstracts Views on Vision4Press platform.

Data correspond to usage on the plateform after 2015. The current usage metrics is available 48-96 hours after online publication and is updated daily on week days.

Initial download of the metrics may take a while.