Free Access

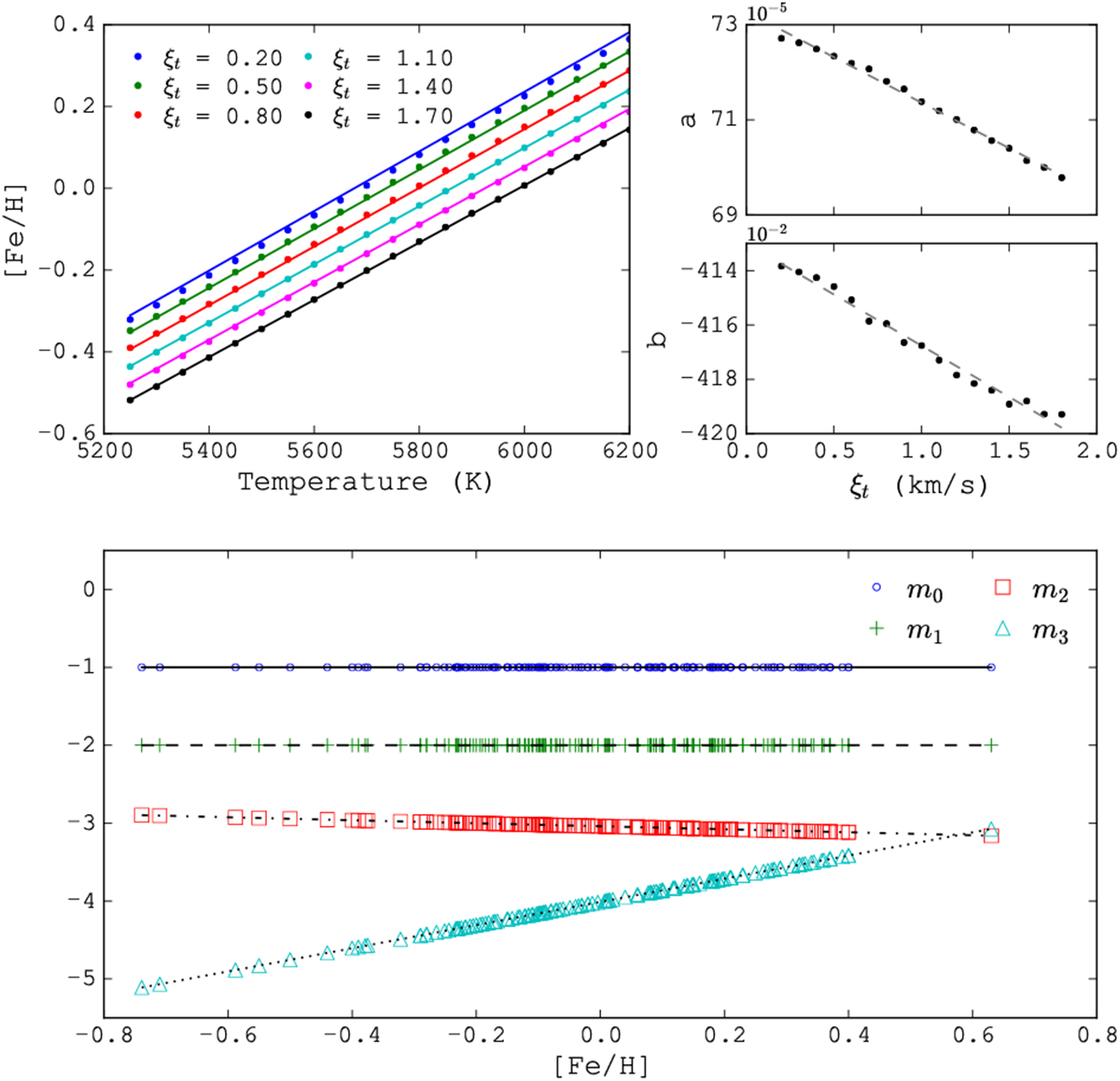
Fig. 8

image

Top panel: (left) dependence of metallicity with temperature for several values of microturbulence, (right) dependence of the coefficients a and b with ξt, so that [Fe/H] = aT + b. Bottom panel: coefficients of the fit of [Fe/H] with T and ξt, so that a = m0ξt + m1 and b = m2ξt + m3. A vertical offset was applied to each coefficient for plotting purposes.

Current usage metrics show cumulative count of Article Views (full-text article views including HTML views, PDF and ePub downloads, according to the available data) and Abstracts Views on Vision4Press platform.

Data correspond to usage on the plateform after 2015. The current usage metrics is available 48-96 hours after online publication and is updated daily on week days.

Initial download of the metrics may take a while.