Free Access

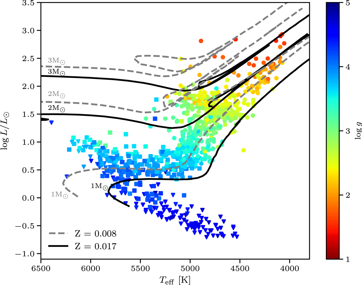
Fig. 9.

image

HRD for all 885 stars from the PTPS sample with uniformly determined parameters. Theoretical evolutionary tracks (Bertelli et al. 2008, 2009) for stellar masses of 1, 2, and 3 M and two metallicities are presented as well. Newly assigned luminosity class is coded with a shape: triangles indicate dwarfs; rectangles indicate subgiants; and circles indicate giants. The gravitational acceleration at stellar surface – log g is colour coded.

Current usage metrics show cumulative count of Article Views (full-text article views including HTML views, PDF and ePub downloads, according to the available data) and Abstracts Views on Vision4Press platform.

Data correspond to usage on the plateform after 2015. The current usage metrics is available 48-96 hours after online publication and is updated daily on week days.

Initial download of the metrics may take a while.