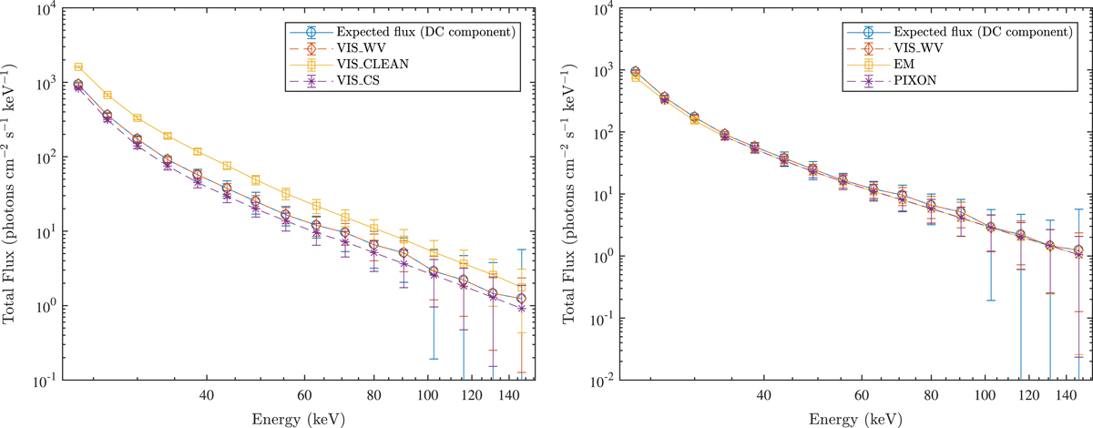
Fig. 7.
 
      Total flux extracted from the reconstructions in Fig. 6 plotted vs. energy and compared to the flux estimated from visibilities collected by detector 9 and to the flux extracted from the reconstructions provided by other methods. Left panel: comparison with visibility-based methods. Right panel: comparison with methods using count modulation profiles.
Current usage metrics show cumulative count of Article Views (full-text article views including HTML views, PDF and ePub downloads, according to the available data) and Abstracts Views on Vision4Press platform.
Data correspond to usage on the plateform after 2015. The current usage metrics is available 48-96 hours after online publication and is updated daily on week days.
Initial download of the metrics may take a while.
