Free Access

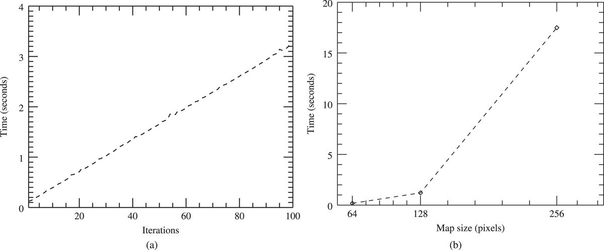
Fig. 9.

image

Computational performance of VIS_WV. The computational time is compared versus panel a the number of FISTA iterations and panel b the size of the reconstructed image. The test is made using the synthetic STIX visibilities used in Fig. 4a.

Current usage metrics show cumulative count of Article Views (full-text article views including HTML views, PDF and ePub downloads, according to the available data) and Abstracts Views on Vision4Press platform.

Data correspond to usage on the plateform after 2015. The current usage metrics is available 48-96 hours after online publication and is updated daily on week days.

Initial download of the metrics may take a while.