Free Access

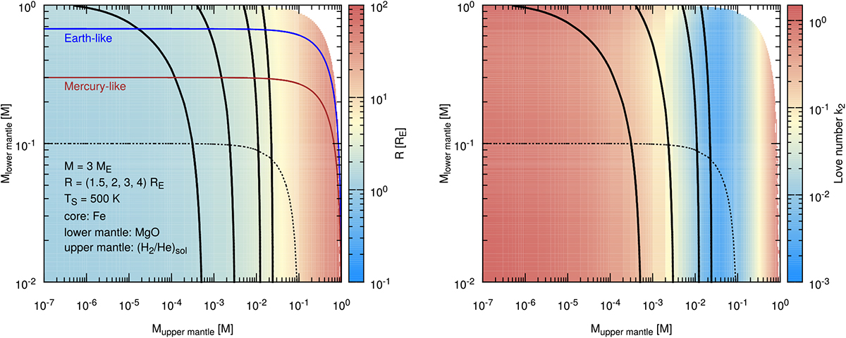
Fig. 1

image

Example results of the parameter study for a planet with 3 ME, TS = 500 K, iron core, MgO lower mantle, and a H/He mixture for the upper mantle of solar composition. The two axes depict the mass fractions of the mantle layers, and the color code represents the resulting radius (left) and Love number k2 (right). For the further evaluation of the results, we neglect models with an iron core mass fraction of 0.9 or higher (models below the thin dotted line). The black solid lines are iso-radius lines for models with 1.5, 2, 3, or 4 Earth radii. Models withan Earth-like (mercury-like) Fe/MgO mass ratio lie along the blue (brown) line.

Current usage metrics show cumulative count of Article Views (full-text article views including HTML views, PDF and ePub downloads, according to the available data) and Abstracts Views on Vision4Press platform.

Data correspond to usage on the plateform after 2015. The current usage metrics is available 48-96 hours after online publication and is updated daily on week days.

Initial download of the metrics may take a while.