Free Access

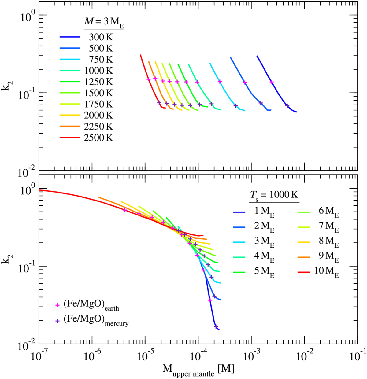
Fig. 3

image

Influence of surface temperature (upper panel) and planet mass (lower panel) on the Love number k2 of objects with R = 2 RE. All models have an iron core, a MgO lower mantle, and a (H2/He)sol upper mantle. The magenta (violet) crosses mark the intersections of the iso-radius lines with the line corresponding to Earth-like (Mercury-like) Fe/MgO mass ratio. The curves for 3 ME and surface temperatures of 300 K, 500 K, and 2500 K are longer because they were created with higher resolution in M2 and M3 (for Figs. 1 and 4) and therefore reach slightly higher values for M2.

Current usage metrics show cumulative count of Article Views (full-text article views including HTML views, PDF and ePub downloads, according to the available data) and Abstracts Views on Vision4Press platform.

Data correspond to usage on the plateform after 2015. The current usage metrics is available 48-96 hours after online publication and is updated daily on week days.

Initial download of the metrics may take a while.