Free Access

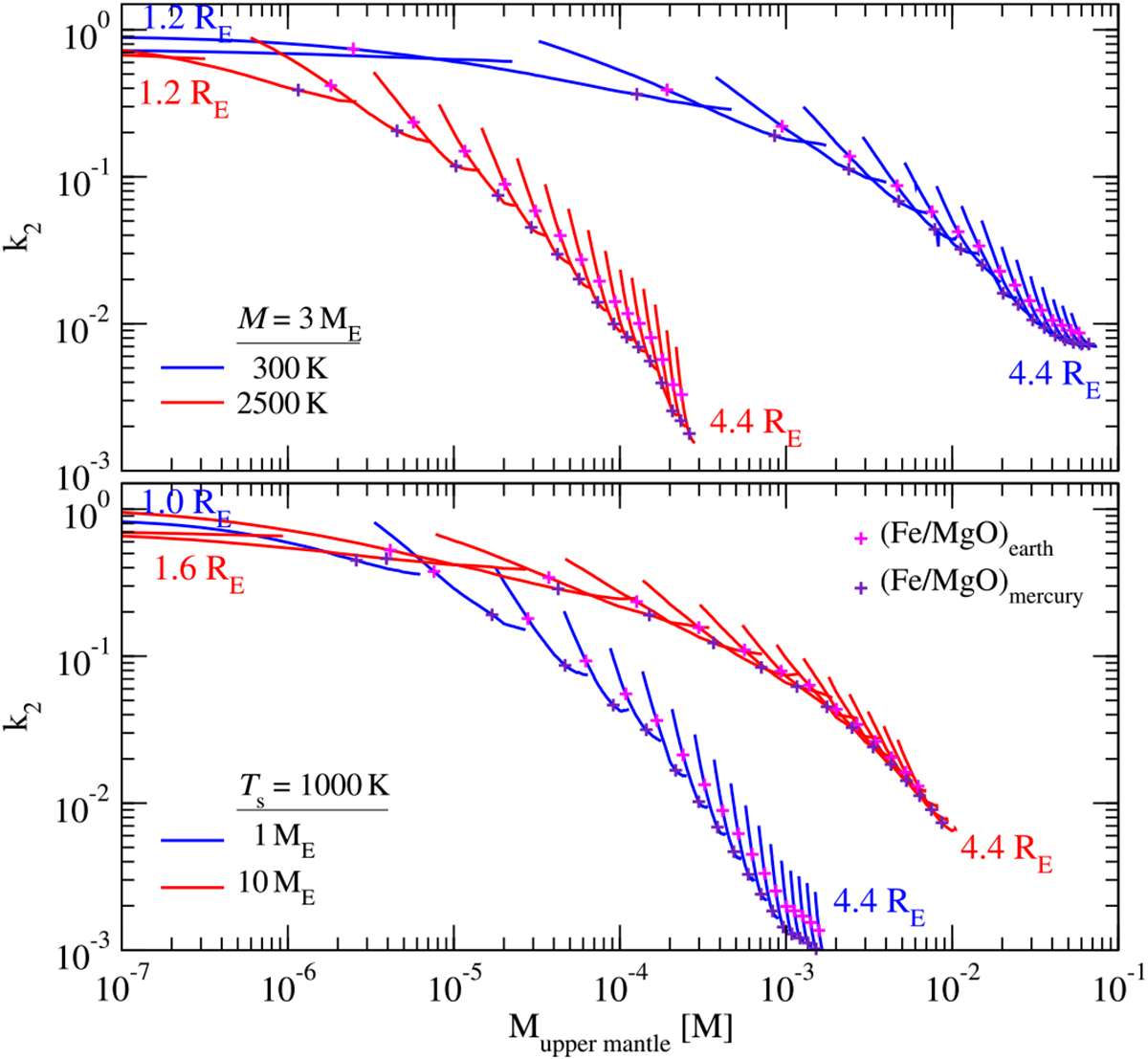
Fig. 4

image

Love number k2 as a functionof upper mantle mass fraction for different temperatures (top), planet masses (bottom), and planet radii. The iso-radius lines range from 1.0 RE (where applicable) to 4.4 RE, with a step width of 0.2 RE. The composition is the same as in Fig. 3. Here we show results for the lowest and highest temperatures and masses, respectively.

Current usage metrics show cumulative count of Article Views (full-text article views including HTML views, PDF and ePub downloads, according to the available data) and Abstracts Views on Vision4Press platform.

Data correspond to usage on the plateform after 2015. The current usage metrics is available 48-96 hours after online publication and is updated daily on week days.

Initial download of the metrics may take a while.